Toggle navigation
Home
Pulse
Channels
CME
Profile
Home
Pulse
Channels
CME
Profile
Nayan Arora's Talks
Nayan Arora
Oregon Health and Science University
Beta Blockers in HFrEF and CKD
February 17, 2026
Nayan Arora
Oregon Health and Science University
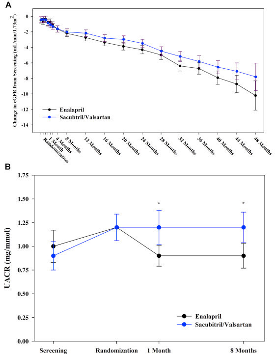
Paradoxic Albuminuria ARNI
February 13, 2026
Share
Paradoxic Albuminuria ARNI
https://www.medspoke.co/channel_playlist?object_id=797&tap_id=10490
Copy Link
Email
X
Bluesky
WhatsApp
Linkedin
Facebook
Reddit
Nayan Arora
Oregon Health and Science University
LIBERATE-D
February 13, 2026
Why are you reporting this TALK?